【可待因】 基本信息(拼音,读音等)
我要纠错
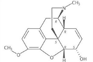
【可待因】是什么意思
- 一种生物硷。为英语 codeine的音译。为结晶性的粉末,可自鸦片抽提或将吗啡甲基化而得。无色无臭、味苦,常用作麻药性镇痛剂及镇咳剂。也译作「可答因」、「可提因」。
【可待因】 图片鉴赏

查字典的部份资料来自网络或由网友提供,不保留版权,如有侵权,请与我们联系以从站上删除! 免责声明:本站非营利性站点,以方便网友为主,仅供学习。
Tip:SCCG