【降幂】的意思和解释
【降幂】 是什么意思(来源:辞典修订版)
- 在数学的代数中,多项式按照某一个字母的指数由大到小的顺序来排列,称为某一字母的降幂。
【降幂】是什么意思(来源:辞书)
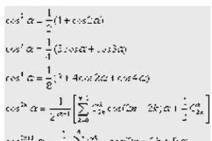
- 若一多项式的表示式中,后项的幂次都比前项的幂次低,则称此多项式的表示式为降幂。例如:
--作者:柯慧美
【降幂】 图片鉴赏

相关词语
查字典的部份资料来自网络或由网友提供,不保留版权,如有侵权,请与我们联系以从站上删除! 免责声明:本站非营利性站点,以方便网友为主,仅供学习。
Tip:SCCG
