【差商】的意思和解释
【差商】是什么意思(来源:辞书)
- 在给定自变数的两个值之间,函数值的差与变数差的商值称为差商。函数f(x)在两点x0与x1间的差商可以写为:
函数差商的羞商称为二阶差商,例如f在x0, x1, x2的差商为:
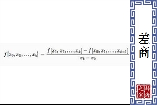
函数的高阶差商,定义类同;差商决定于基点x0, x1…的集合,但与顺序无关,今以S=x0, x1,… xn表已知基点的集合,a与b表两增加之基点,则高阶差商的定义可以写为:
今以列表(称为差商表)方法,说明差商的关系如下:
--作者:张式鲁
【差商】 图片鉴赏

相关词语
查字典的部份资料来自网络或由网友提供,不保留版权,如有侵权,请与我们联系以从站上删除! 免责声明:本站非营利性站点,以方便网友为主,仅供学习。
Tip:SCCG
