【平均误差】的意思和解释
【平均误差】是什么意思(来源:辞书)
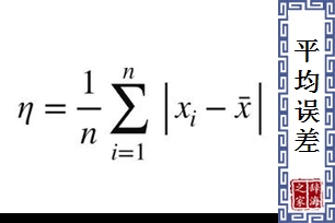
- 各误差绝对值之平均数。
【平均误差】 图片鉴赏

查字典的部份资料来自网络或由网友提供,不保留版权,如有侵权,请与我们联系以从站上删除! 免责声明:本站非营利性站点,以方便网友为主,仅供学习。
Tip:SCCG
