【升幂】的意思和解释
【升幂】 是什么意思(来源:辞典修订版)
- 数学代数式中,某一字母的指数,由低顺次至高,称为此一字母的「升幂」。
【升幂】是什么意思(来源:辞书)
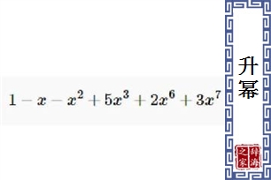
- 若一多项式的表示式中,后项的幂次都比前项的幂次高,则称此多项式的表示式为升幂,例如:
--作者:柯慧美
【升幂】 图片鉴赏

相关词语
查字典的部份资料来自网络或由网友提供,不保留版权,如有侵权,请与我们联系以从站上删除! 免责声明:本站非营利性站点,以方便网友为主,仅供学习。
Tip:SCCG
