【积分】的意思和解释
【积分】 是什么意思(来源:辞典修订版)
- 累积的分数。数学中已知某函数的微分,而求其原函数的方法。
【积分】 是什么意思(来源:辞典简编版)
- 累积的分数。
【造句】两球队的积分因为相同,所以必须延长赛程以决定胜负。 - 数学中已知某函数的微分,而求其原函数的方法。
【造句】积分最初是数学家们为了计算物体的面积、体积而发展出来的概念。
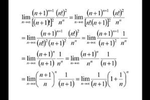
【积分】 图片鉴赏

相关词语
查字典的部份资料来自网络或由网友提供,不保留版权,如有侵权,请与我们联系以从站上删除! 免责声明:本站非营利性站点,以方便网友为主,仅供学习。
Tip:SCCG
