【级数】的意思和解释
【级数】 是什么意思(来源:辞典修订版)
- 一群数字依次以「+」号连接起来所成的式子,称为「级数」。如 1+2+3+6+11。
【级数】 是什么意思(来源:辞典简编版)
- 一串数字依次以加号连接起来所成的式子。如 1+2+3+4+5为等差级数, 2+4+8+16+32为等比级数。
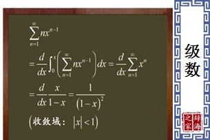
【级数】是什么意思(来源:辞书)
- 将一数列的每一项依序用加号连接所得的式子称为级数。例如:将数列依序用加号连接得级数又如将数列…依序用加号连接得级数…。
--作者:蔡炎盛
【级数】 图片鉴赏

相关词语
查字典的部份资料来自网络或由网友提供,不保留版权,如有侵权,请与我们联系以从站上删除! 免责声明:本站非营利性站点,以方便网友为主,仅供学习。
Tip:SCCG
